Eletroheuro.com
FILTROS ATIVOS E PASSIVOS EM ELETRÔNICA-Parte 1
Esse post faz uma análise de alguns filtros analógicos utilizados em sistemas eletrônicos.
Jose Roberto Marques
5/23/20252 min read

















Vamos admitir que o sinal de entrada desse filtro seja:

A resposta do filtro será:

Verificamos que ocorre uma atenuação de 29,5% no sinal de 500 Hz, de 30% no sinal da frequência crítica e de 98,6% na frequência de 5000 Hz.
Adaptando para o caso passa baixa:.
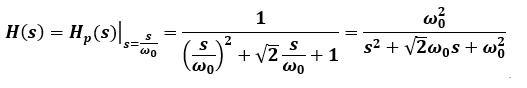
A equação do protótipo do filtro é:
A equação do circuito é:
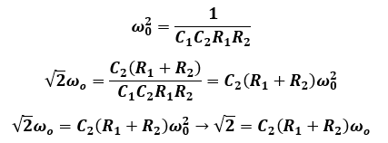
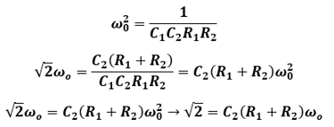
Comparando as expessões termo a termo temos:
Uma das topologias clássicas de filtros ativos passa baixa de segunda ordem é a Salen-Key. Esse filtro passa baixa pode ser configurado de acordo com alguns polinômios clássicos que são utilizados como protótipos no projeto de filtros, mais notadamente os polinômios de Butterworth e Chebyschev. Para o caso Butterworth a função de transferência protótipo é dada pela equação:
A topologia do filtro é:
Exemplo de projeto
Projetar um filtro analógico passa baixa de segunda ordem, baseado no protótipo do polinômio de segunda ordem de Butterworth utilizando a topologia Salen-Key com frequência crítica de 1000 Hz. Adote o capacitor C2=0,22uF e R1=R2.
Utilizando as expressões derivadas acima temos: